Violation of Bail Conditions
Satinder Singh Bhasin v Government of NCT of Delhi
Case Summary
The Supreme Court held that the grant of bail is strictly contingent upon the bonafide and substantial fulfillment of bail conditions in both letter and spirit. It clarified that the unlawful sourcing of funds to satisfy a bail deposit constitutes a fundamental breach of trust and legal integrity.
Satinder Singh...
Case Details
Judgement Date: 2 April 2026
Citations: 2026 INSC 310 | 2026 SCO.LR 4(1)[4]
Bench: Sanjay Karol J, N.K. Singh J
Keyphrases: Bail—Real estate project—Siphoning of funds—Interim bail—Non-compliance with bail conditions—Unlawful sourcing of funds for bail deposit—Bail condition to be fulfilled in both letter and spirit .
Mind Map: View Mind Map
Judgement
SANJAY KAROL, J
1. The present batch of Miscellaneous Applications have been filed by allottees of the ‘Grand Venice’ project, seeking cancellation of bail granted to the petitioner – Mr. Satinder Singh Bhasin by this Court vide Order dated 06.11.2019 in W.P. (Crl.) No. 242 of 2019, due to violations of certain bail conditions that were imposed upon him.
2. The genesis of these applications is a Writ Petition1 under Article 32 of the Constitution of India, which was filed by Mr. Bhasin, the then Director of Bhasin Infotech and Infrastructure Private Limited2 in 2019. Therein, he had sought clubbing of all the FIRs pertaining to ‘Grand Venice’ project of his Company, and for the grant of bail in those cases, along with interim relief of bail. The subject FIRs, registered in the States of New Delhi and Uttar Pradesh, were filed by the allottees of units in the project against the petitioner, alleging non-delivery of their units, siphoning of their funds, and impropriety in allotment of land with the collusion of State officials. Prayer sought is extracted hereunder:
“a) To issue a writ of Mandamus or any other appropriate writ, order or direction thereby directing the respondent no.3 CBI to investigate into all the offences alleged against the Petitioner in the FIRs mentioned in Table 3 hereto (Synopsis Page G) and other FIRs not in the knowledge of the Petitioner, involving identical allegations;
b) In the alternative, consolidate the FIRs mentioned in Table No.1(Synopsis Page F) into one single mother FIR and all FIRs be investigated and tried by one single agency as this Hon’ble Court may deem fit and proper in the facts and circumstances of the present case;
c) Grant bail to the petitioner herein in all FIRs, known and unknown, including those stated in Table No.3 hereto, subject to such conditions as this Hon’ble Court may deem fit and proper irrespective of any order made or proceedings or applications pending in any of the Courts other than this Hon’ble Court.
d) Stay the proceedings against the Petitioner emanating from the FIRs mentioned in Table no.3 hereto and other FIRs not in the knowledge of the Petitioner, involving identical allegations, until the investigation is handed over to the Respondent No.3 CBI in terms of the prayer(a) of the present Writ Petition; and
e) Pass such other order(s) or direction(s) as it deems fit in the facts of the present case and in the interest of justice.”
Orders of this Court
3. This Court vide order dated 06.11.2019, granted interim relief of bail claimed by the petitioner in relation to the subject FIRs. The relevant conditions imposed upon him are extracted below:
“The petitioner is granted bail in respect of all the FIRs referred to in prayer clause (c) in respect of the project by name “Grand Venice” in NCR, in particular, Mall and Commercial Tower thereof, on the following conditions:-
(i) That the petitioner shall not commit any offence of similar type of which he has been accused.
(ii) The petitioner shall not directly or indirectly make any inducement, threat or promise to any person acquainted with the facts of the case so as to denude such person from disclosing such facts to any Police Station or tamper with evidence.
… … …
(vi) The petitioner shall deposit an aggregate amount of Rs 50,00,00,000/- (Rupees fifty crore only) before the Registry of this Court as a pre-condition for grant of bail. On deposit of such amount, authenticated copy of the receipt issued by this Court be produced before the concerned Court/Investigating Officer. The amount so deposited by the petitioner in the Registry, be invested in an appropriate interest bearing deposit scheme in a nationalized bank until further orders including to renew the deposit from time to time.
(vii) The petitioner shall furnish personal bail bond of Rs.5,00,000/- (Rupees five lac only) with one surety in the like amount in connection with each FIR independently.
(viii) After being released on bail in terms of this order, the petitioner shall make every possible attempt to settle the claims of the concerned complainant(s)/informant(s) as far as possible within six to eight months as ordered by the Court of the Chief Judicial Magistrate, Patiala House Courts while granting bail to the petitioner in FIR No.38/2018 registered with the Economic Offences Wing, New Delhi vide order dated 15th May, 2019.
(ix) If the petitioner fails to abide by any of the above conditions intentionally and if it is so established before this Court, no less than 50% of the amount deposited by him in this Court in terms of this order [Clause (vi) above] shall stand forfeited.”
(emphasis supplied)
4. In Condition (viii) there is a mention of Patiala House Court order dated 15.05.2019. The order reads as under:
“I have heard the respective counsels and perused the entire material placed on record. In the case in hand, the complainants, who are the members of Grand Venizia Buyers Association who have filed the company petition no. 49/16 against the applicant/accused herein in Hon’ble Delhi High Court, agreed to take possession of the units and the applicant/accused also issued possession offer letters in compliance of order dated 21.08.2018 of Hon’ble Delhi High Court in the abovesaid company petition. However, as per the submissions made by Ld Counsel for the complainants, the complainants herein were taken aback by the letter dated 03.07.2018 of then Commissioner, Meerut Division, UP and the possession of the existing units were not taken by the complainants herein. It is not in dispute that in company petition before Hon’ble Delhi High Court the Complainants herein who are members of Grand Venezia Buyers Association were willing to take possession of units subject to clear title as per the agreement between the parties. The accused has given the statement before the Court that he would settle the matter with all the complainants. Considering the submissions made and the documents referred to by Ld Sr. Advocate during arguments regarding the allegations/facts alleged in letter dated 03.07.2018 of the then Commissioner, Meerut Division, UP, which are not disputed by Ld counsel for the complainant, IO and Ld APP for the State and the proposal of settlement given by the accused and the amount of Rs. 5 crores deposited by the accused in the Court to show his bonafide, I am of the opinion that the applicant/accused is hereby admitted to bail on furnishing personal bond in the sum of Rs.5 lacs with one surety in the like amount subject to the condition that he shall settle the matter with all the complainants herein within a period of 6 to 8 months. It is pertinent to mention that the accused would either give possession of units with clear title as per agreements to the complainants herein or he would refund their money within the period as assured by him. It is clarified that in case the accused fails to abide by the assurance/undertaking given by him before the Court, the amount of Rs. 5 crores deposited by him would be forfeited and his bail would be cancelled upon an application filed in this regard by the prosecution. Further, the applicant/accused shall join the investigation as and when required by the IO and he shall not tamper with evidence or influence any witness in any manner whatsoever and that he shall appear on each and every date of hearing to attend the proceedings in accordance with the terms of bail bond which would be executed by him and that he shall not leave the country without prior permission of the Court.
Bail application stands disposed of.”
(emphasis supplied)
5. An Interim Application bearing number 172273/2019 praying for modification of Condition (vi) and (vii), filed by the petitioner came to be partly rejected by this Court on 25.11.2019. Upon hearing the parties, this Court declined to interfere with Condition (vi) and rejected the prayer for waiver to deposit Rs.50,00,00,000/- (Rupees Fifty Crores only) as a pre-condition for the grant of bail. However, insofar as Condition (vii) was concerned, the Court modified the same to the extent that in addition to the personal bail bond, the petitioner was directed to furnish two sureties in the sum of Rs.1,00,00,000/- (Rupees One Crore only) each, cumulatively, which can be offered in respect of all the cases pertaining to project ‘Grand Venice’. Consequently, vide Order dated 12.12.2019, the said amount deposited pursuant to Condition (vi) was directed to be invested in an appropriate scheme.
6. In furtherance of Condition (viii), this Court vide order dated 15.01.2020 recorded that the process of mediation had been initiated before the Delhi High Court Mediation Centre, and that notices have been issued to all the stakeholders. The Court also took note of specific grievances raised by certain allottees and directed the petitioner to address the same within a stipulated time. Subsequently, this Court on 24.01.2020 expressly held that Condition (viii) would include permitting all the parties to approach the Delhi High Court Mediation Centre for resolution of their disputes through settlement. It was observed that:
“The order dated 06.11.2019 is clarified to mean that clause (viii) thereof includes permitting the parties to approach the Delhi High Court Mediation Centre for resolution of disputes inter-se through mediation process.
Learned counsel appearing for the respondents whose names are not included in the list for mediation furnished by the petitioner are free to give their details to the learned counsel for the petitioner so that appropriate steps can be taken by the petitioner to update the said list.
… … …
The offer regarding settlement can be pursued by all commercial shops/establishments buyers, including the applicants who have filed impleadment application.”
(emphasis supplied)
7. In continuation thereof, while preferring an application seeking permission to travel abroad, the petitioner made a categorical statement, which came to be recorded by this Court vide order dated 27.02.2020, that the mediation process would, through his authorised officers, be taken to its earliest logical conclusion. Thereafter, this Court vide order dated 20.08.2020, took note of the stand of the petitioner that he was willing to offer possession as also execute necessary agreement/sub-lease and recorded as under:
“During the course of argument, it was brought to our notice that the petitioner is willing to offer possession as also facilitate execution of necessary agreement/sub- lease, as may be required. In the meantime, the home-buyers are free to avail that
option/offer.”
8. This Court vide interim order dated 12.05.2022, allowed clause (b) of the prayer of the Writ Petition, and consolidated all the FIRs pending against the petitioner. FIR No. 353/2015 was made the principal FIR, wherein it was observed as under:
“Suffice it to note that the principal FIR filed in first point of time was registered by the Kasna Police Station in Greater Noida being FIR No.353/2015 dated 09.06.2015. More or less, similar allegations are made in the subsequently filed FIRs by different buyers of the units in the concerned commercial building. As many as 41 FIRs have been filed across the State of Uttar Pradesh and 5 FIRs in the Govt. of NCT of Delhi. We hasten to add that Govt. of NCT of Delhi has no objection to club these FIRs along with the principal FIR i.e., FIR No.353/2015, referred to above.
Accordingly, following the principle enunciated by this Court in Amish Devgan vs. Union of India & Ors., as also in the peculiar facts of the present case, we, in exercise of power under Article 142 of the Constitution of India, accede to the relief claimed in terms of the prayer clause (b) — of consolidation of all FIRs, including registered in New Delhi with FIR No.353/2015 as the principal FIR and for being proceeded with in accordance with law, as we are of the opinion that multiplicity of the proceedings will not be in the larger public interest as well.
It is brought to our notice that investigation in respect of some FIRs has been completed and even chargesheet(s) have been filed by the special Investigation Team (SIT), constituted by the State of Uttar Pradesh in respect of all these cases. In terms of this order, the chargesheet(s) filed in other cases shall stand merged with the chargesheet filed in criminal case arising out of FIR No.353/2015.
Further, it will be open to the Investigating Officer in the case registered as FIR No.353/2015, to file a supplementary chargesheet, which will be a composite chargesheet to deal with all the statements collated during the investigation in the other cases, including the statement of the complainant in the respective FIR as being statement under Section 161 of the Cr.P.C. The supplementary chargesheet to be filed on the basis of the entire record so collected during the investigation in the respective cases will be then made the basis to proceed for trial against the petitioner and named accused therein.”
9. Vide order dated 28.07.2022, this Court transferred Writ Petition No. 3790 of 2022 pending before the High Court of Judicature at Allahabad to this Court as T.C. (Civil) No. 82/2022. This Writ Petition was filed by the petitioner seeking conversion of the subject land of the ‘Grand Venice’ project from leasehold to freehold. Judgment was reserved in this matter on 18.10.2022 and was ultimately dismissed on 17.03.2023. With no further challenge against the issue of conversion of land, stood finally settled against the petitioner.
10. This Court vide order dated 20.03.2023, recorded a suggestion made by the petitioner that the issue relating to documentation, particularly the execution of sub-lease deeds, could be resolved amicably or with the assistance of a mediator. Relevant part thereof is extracted hereunder:
“Apart from other submissions, the learned Senior Counsel, Mr. Shyam Divan, appearing for the petitioner (Satinder Singh Bhasin) in Writ Petition (Crl.) No.242/2019, has suggested on instructions, that as regards the issue concerning the documentation, particularly the execution of sub-lease deed, the matter could be resolved by the parties sitting together or may be with the assistance of some Mediator.
Mr. A.N.S. Nadkarni, learned Senior Counsel, appearing for the respondent-UPSIDA, prays for some time to complete all his instructions and to state his response in that regard.”
(emphasis supplied)
However, vide order dated 27.03.2023, it was submitted on behalf of Uttar Pradesh State Industrial Development Authority3 that it may not be in a position to agree to the said proposal of settlement concerning the execution of sub-lease deeds.
11. Thereafter, this Court vide order dated 24.04.2023, noted that the petitioner, represented through Mr. Shyam Divan, learned senior counsel, and Grand Venezia Buyers Association, represented by Ms. Meenakshi Arora, learned senior counsel, were ad idem on the existence of elements of settlement and recorded their willingness to participate in mediation proceedings in the spirit of earlier orders passed by this Court. The relevant extract is reproduced hereunder:
“Learned senior counsel Mr. Shyam Divan appearing for the petitioner and learned senior counsel Ms. Meenakshi Arora appearing for the respondent No.4 (Grand Venezia Buyers Association), are ad idem that the elements of settlement do exist and for that purpose, the parties shall be willing to attend the mediation proceedings before the Mediation Centre attached to Delhi High Court in terms of and in the spirit of the orders earlier passed in this matter. For that purpose, the parties have agreed to appear before the Mediation Centre on 26.04.2023 at 11:00 a.m.”
(emphasis supplied)
12. The aforesaid Writ Petition came to be disposed of vide final order dated 08.08.2023, whereby the transfer and clubbing of FIRs were made absolute. Prayer made by the petitioner for withdrawal of the amount of Rs.50 Crores deposited in consonance with Condition (vi) was rejected and the said amount was directed to be transferred to the concerned Trial Court, to be kept in a Fixed Deposit Receipt. While considering the issue of settlement, this Court observed that although efforts had been made to arrive at an amicable resolution, disputes continued to subsist inter se the parties. However, this Court refrained from deciding the said issue, noting that the issue of settlement was intertwined with the modification of lease conditions, which was the subject matter of a pending civil dispute, and in view of the stand of the UPSIDA that such settlement was not possible. Consequently, this Court left open the issue of alleged breach of Condition (viii) and granted liberty to any party to prefer an application for cancellation of bail before this Court in the event of breach of any of the conditions imposed. While passing the order, this Court observed as under:
“8. … It is true that some of the orders passed by this Court indicate that an effort was made to work out an amicable settlement between the petitioner and investors/complainants/first informants. An order was made to refer the disputes to the Mediation pursuant to which the petitioner claims that the claims of about 108 investors, out of a total of 220 aggrieved investors have been settled. Again, there is a dispute about the same raised by the fourth respondent by contending that the petitioner has not abided by the terms and conditions of the settlement.
9. So far as the settlement is concerned, the entire issue, even according to the petitioner, revolves around the modification of the terms and conditions of the lease deeds. For that purpose, a substantive suit has been filed by the petitioner which is pending in the competent Civil Court. Now, that UPSIDA has made a statement that it is not possible for them to modify the terms and conditions, and the fact that the issue of conversion from lease hold to free hold has attained finality against the petitioner, no purpose will be served by keeping this petition pending.
10. As bail has been granted to the petitioner by this Court on certain terms and conditions, those who want to contend that there is a breach of terms and conditions committed by the petitioner can always file an application for cancellation of bail and if such application is filed, the Registry will permit filing of the said application. The application shall be placed before the appropriate Bench. As we are leaving this remedy open, we are not adjudicating upon the issue whether the petitioner has not complied with condition No. (viii) in the order granting bail. This issue will have to be gone into in the application for cancellation of bail if filed by the concerned parties.
… … …
12. Thus, the deposit of a sum of Rs.50,00,00,000/- (Rupees fifty crores) was a condition for the grant of bail. Therefore, it is obvious that after having availed the benefit of bail, now the petitioner cannot back out and say that he may be permitted to withdraw a sum of Rs.50,00,00,000/- (Rupees fifty crores) which was deposited by him, as a condition for grant of bail. If the petitioner wants the refund, he will have to surrender. The petitioner cannot have it both ways.
… … …
14. We reject the prayer made by the petitioner for a grant of refund of the sum of Rs.50,00,00,000/- (Rupees fifty crores) and interest accrued thereon.
… … …
17. We clarify that this Court has made no adjudication on the issue of modification of terms and conditions of the leases, as a substantive suit in that behalf is pending which is filed by the petitioner.
18. We reject the prayer made by the petitioner for the refund of a sum of Rs.50,00,00,000/- (Rupees fifty crores) together with interest thereon. We direct that after the present fixed deposit matures, the said amount shall be forthwith transferred to the Court of the learned Chief Judicial Magistrate, Gautam Budh Nagar with a direction that the said Court shall invest the said amount in a fixed deposit in a public sector bank in such a manner that it will fetch the best possible interest.
19. The issue of withdrawal of the said amount will have to be considered by the competent criminal Court at an appropriate stage in accordance with the law.
20. It will be open for respondent No.4 or any other party to apply for cancellation of bail granted to the petitioner under the order dated 6th November 2019. If such an application is made, the Registry shall accept it and place it before the appropriate Bench.”
(emphasis supplied)
13. Thereafter, the present Miscellaneous Petitions came to be filed on 20.10.2023 by various allottees of the project. This Court vide order dated 09.02.2024 called upon the petitioner to file an affidavit of compliance setting out the details of the settlement of claims, if any, along with supporting documents. The order read as under:
“We direct the petitioner in the Writ Petition to file a counter affidavit within a period of three weeks from today. The counter affidavit will give all particulars regarding compliance, if any, made by the petitioner with condition clause (viii) of paragraph 16 A of the Reportable order dated 6th November, 2019. The petitioner shall set out the details of settlement of claims, if any, along with necessary documents. The petitioner will serve advance copy of the counter affidavit to the counsel representing the State.
The State will make verification of the details given in the counter and will also ascertain whether there are any claimants whose claims have not been settled. The State shall complete the exercise within a period of three weeks from the date of receipt of a copy of the counter affidavit.”
(emphasis supplied)
14. On 18.03.2024, notice came to be issued in all the applications seeking cancellation of bail as well as on the Contempt Petition No. 75 of 2024. On 13.05.2024, while considering these applications, this Court made the following observations:
“We have perused the supplementary reply filed on behalf of the petitioner. We are not satisfied with the stand taken by the petitioner that he has made a genuine effort to settle the dispute with all the investors. In fact, from the order dated 6th November, 2019 granting bail, it is apparent that the object of releasing the petitioner on bail was to facilitate settlement of the claims of the investors.
Firstly, we call upon the petitioner to file a detailed affidavit setting out the reasons why the petitioner could not settle the claims of 41 investors named in the status report filed by the respondent no.2 on 8th May, 2024.
… … …
More than four years have elapsed from the date of grant of bail. Therefore, we are putting the petitioner to notice that if we find that there is no genuine or bona fide effort made by the petitioner to settle the claim of even one investor, that may be a ground for cancellation of bail.”
(emphasis supplied)
15. Pursuant to the aforesaid order, this Court on 19.07.2024, recorded that the petitioner in the disposed of Writ Petition filed an additional affidavit claiming that he has endeavoured to settle with many aggrieved persons/investors and directed the State Government to examine and respond to the said affidavit. In furtherance of these directions and with a view to ascertain the veracity of petitioner’s claim regarding settlement with the allottees/investors, this Court vide order dated 02.09.2024, observed and directed as under:
“Now, the issue is whether the original writ petitioner has settled the dispute with 103 investors. For the time being, we are dealing with the cases of 41 investors who are referred in paragraph 28 of the rejoinder affidavit filed by the petitioner to the response of the State of Uttar Pradesh dated 23rd August, 2024.
We direct the petitioner to implead these 41 persons as party respondents in MA No.239 of 2024 and file an amended copy within a period of one week from today.
Issue notice to these newly added respondents returnable on 4th October, 2024.
The Registry to forward the notices to the office of Shri Saurabh Srivastava posted as Assistant Commissioner of Police (Crime) Gautam Buddha Nagar, Uttar Pradesh whose office shall be responsible for effecting service. These 41 persons shall come before the Court by filing affidavits and inform this Court whether there is a complete settlement between them and the petitioner.
A copy of this order shall accompany the notice issued to 41 persons.”
(emphasis supplied)
16. Vide order dated 13.12.2024, this Court directed the State to prepare a tabular format after the perusal of affidavits filed by the investors giving details of settlement, if any, and compliance/non-compliance thereof. With a view to achieve settlement with the investors, this Court on 24.01.2025 again reiterated:
“We have perused the affidavit of compliance along with a tabular chart filed by the State. The tabular chart is only in respect of 43 investors. The chart shows that still, the petitioner has not settled with many. Time and again, this Court has granted time to the Petitioner with the hope that he will settle the claims of all the purchasers.
A perusal of the orders passed by this Court from time to time will show that, only by way of indulgence, this Court has kept on postponing the consideration of prayer for cancellation of bail. Now, it is not possible for the Court to grant further time. In one of the orders, we had made it very clear that unless the claim of every investor is settled, the petitioner cannot continue to avail the facility of bail.
However, by way of indulgence, we finally grant time to the petitioner till 15th March 2025 to produce before the Court an affidavit recording that claims of all the investors have been settled. No further time shall be granted to the petitioner.”
(emphasis supplied)
17. Pursuant to the above orders, the petitioner submitted before this Court that some allottees have expressed their unwillingness to take possession of their units. Consequently, vide order dated 29.04.2025, this Court directed three senior officers of the UPSIDA to visit the premises and submit a report on: (a) the habitability of the units; (b) presence of electricity and water supply; (c) status of Occupation Certificate; and (d) whether possession of units has been handed over or not. The Court further directed UPSIDA to specifically state whether it was in a position to execute tripartite agreements and the manner in which they can be executed. Relevant part of the order is extracted below:
“1. Firstly, we deal with the issue of settlement entered into by the original petitioner with 41 buyers of the units whose names appear in Annexure A-20 to the affidavit filed on 24th March, 2025 by the petitioner. It is claimed in the affidavit that the possession of 23 units has been handed over to the persons mentioned in Annexure A-20. It is stated that 10 purchasers whose names appear on page 203 have shown unwillingness to take possession apprehending that registration of the document will not take place.
2. We direct the Uttar Pradesh State Industrial Development Authority (for short, “the said Authority”) to immediately nominate three senior officers to visit the buildings in which the units mentioned in Annexure A- 20 are situated. The officers of the said Authority will visit the site on 1st May, 2025 at 11.00 a.m. when a representative of the petitioner shall remain present along with all documents such as Occupation/Completion Certificate, agreements, if any, entered into with 41 persons mentioned in Annexure A- 20. The representative of the petitioner will also bring the documents showing delivery of possession as regards these 41 units (excluding the units to be allotted to 8 persons who have allegedly taken refund). The officers of the Authority shall verify the documents produced by the petitioner and submit a report to this Court on the following aspects:
(a) whether the units mentioned at Serial Nos. 1 to 23 on page 202 and the units mentioned at Serial Nos. 1 to 10 on page 203 are in habitable condition;
(b) whether there is electricity and water supply available to these tenements;
c) whether there is an Occupation/Completion Certificate in respect of these 33 units; and
d) whether possession of these units has been handed over and names of the persons, if any, found in possession.
… … …
4. The Authority will file a report/affidavit stating the aforesaid facts and shall produce necessary documents. The Authority will also make a statement whether it is in position to execute Tripartite Agreement (to which the petitioner, the purchaser and the Authority will be parties) and in what manner the Tripartite Agreements can be executed.
5. We may also add here that the officers will also ascertain whether the other units in the building in which these units are situated are functional.
… … …
9. This Court’s order dated 2nd September, 2024 refers to the dispute between the petitioner and 103 investors. So far we have dealt with 41 investors, out of 103 investors. We direct the petitioner to file an affidavit in relation to the remaining 62 investors about the progress made in the settlement.”
(emphasis supplied)
A Report4 came to be filed thereto, and was taken on record by this Court 07.05.2025. The contents of this Report will be discussed in the following paragraphs.
18. On 03.06.2025, this Court granted liberty to the aggrieved parties to move an application for intervention and permitted the Interim Resolution Professional5 as well as the Ld. Observer appointed by National Company Law Tribunal6 in the IBC proceedings pending against BIIPL to place on record their Report and all the documents in support of their contentions. Vide Order dated 22.07.2025, this Court had directed the IRP to prepare a list of each of the allottees after ascertaining whether they are desirous of taking possession at this stage or seek refund of the amount deposited. The said order reads as under:
“3. We request Mr. Vipin Sanghi, learned senior counsel, to prepare a chart, in a tabular form, indicating the status of each one of the allottees, after ascertaining their desire as to whether they want to take possession of the property or seek refund of the amount deposited and that too with or without interest.
4. We add that, the petitioner shall also specifically respond to the status report as also the report of the observer annexed with the application filed by the I.R.P. as mentioned above. Also, we expect the petitioner to furnish all information to the I.R.P., as is so required, for ascertaining the exact status to be allotted to the allotees.
5. Mr. Shyam Divan, learned senior counsel appearing for the petitioner, submits that demands raised by UPSIDA are pending adjudication before the High Court of Allahabad in W.P.No.26964 of 2024 and the same is listed on 24.07.2025. We request the High Court to consider and decide the same expeditiously.
6. We allow the I.R.P. to issue the public notice informing all the allottees, even those who are not before us, about the pendency of the present proceedings as also ascertaining clear current status with regard to their claims, if any.”
(emphasis supplied)
19. Thereafter, in furtherance of order dated 22.07.2025, on 25.08.2025, the petitioner was directed to file an affidavit before this Court with the following particulars, which is extracted hereunder:
“1. Having heard the matter for some time in continuation of our earlier orders, we issue the following directions:
(I) Writ Petitioner Satinder Singh Bhasin shall file his personal affidavit dealing with the averments made in
I.A. No.168053 of 2025 including annexures, in particular the report, part thereof. He shall also file his personal affidavit in terms of our order dated 22.07.2025. This he shall do within a period of one week from today. Should the affidavit lack any particular/material information, it shall be open for the IRP to seek further information/clarification from the petitioner which shall be furnished immediately.
(II) Clarifying further, that the said affidavit shall be filed, indicating complete particulars of (a) total FSI/area of the project for which sanction for construction was accorded by the authorities; (b) number of units, area- wise, permitted to be constructed;(c) the names and detailed particulars i.e. address, etc. of the persons to whom allotments were made; (d) the price at which such allotments were made and the amounts received qua each one of the allottees; (e) Status of completion of each of the units and possession of each built up unit of such allotments stands handed over or not.
(III) We clarify that we have not stayed the proceedings pending before any one of the fora and, more particularly NCLAT, where proceedings in relation to the Project are pending. In fact as we have requested the High Court of Allahabad to decide the writ petition filed by the petitioner on expeditious basis, we also request NCLAT to decide the appeal preferred by the petitioner on expeditious basis.
… … …
(V) Copy of the affidavit be supplied by uploading the same on the official website of the Court enabling each one of the learned counsel appearing for the parties to download the same.”
(emphasis supplied)
20. Finally, on 20.11.2025, this Court issued show cause notice to the petitioner, as to why the liberty of bail granted to him by this Court should not be cancelled for non-compliance of the conditions imposed therein. An independent Committee comprising of two retired judges was also constituted by this Court, with the purpose of providing final resolution to all the allottees of the project. It was observed:
“15. On a considered view of this matter, the conduct of the Petitioner to say the least is most undesirable, if not that of an obstructionist. Six years have passed since the liberty of bail was granted to him by this Court, subject to the condition that he will make every possible attempt to settle the claims of the concerned complainants. Allegedly, the Petitioner has been deflecting responsibility, while the onus for delay has been attempted to be shifted onto the allottees themselves or UPSIDA, which is perhaps unacceptable. All stakeholders have submitted that the Petitioner continues to be in direct management of the affairs of the Petitioner Company. Allegations of mismanagement of company affairs have also been made against the Petitioner, for instance, it has been alleged that the Petitioner has siphoned off company funds to the tune of Rs. 50 crores, to comply with the order granting bail of this Court. It has been submitted before this Court that there are a total of 190 FIRs pending against the Petitioner as on date, concerning different offences.
16. This Court has granted ample opportunity to the Petitioner to give a clear undertaking to this Court, with respect to the settlements still pending and steps being taken vis-à-vis allottees still awaiting resolution. On multiple occasions, this Court has made it clear to the Petitioner that the liberty of bail is subject to settlement with the allottees, however prima facie there has been no change in the conduct of the Petitioner. No clear response has been received from the Petitioner in this regard. Furthermore, this Court finds it deeply concerning that in the response of the allottees, it has come across that the allottees who have been shown as settled by the Petitioner still await compliance of the said agreements, despite years having passed. This Court is also of the opinion that it may be appropriate to expedite the trial against the Petitioner in the subject FIRs to bring an end to this state of affairs.
17. In view of the above, it is amply clear that the condition of bail imposed by this Court is not being complied with, both in letter and spirit.
18. Consequently, we deem it appropriate to issue a Show Cause Notice to the Petitioner as to why the liberty of bail granted to him by this Court should not be cancelled for the non-compliance of the conditions imposed therein, and in terms of condition (ix), why, atleast 50% of the amount deposited with this Court should not be forfeited. Response be positively filed in two weeks.
… … …
20. This Court is also of the opinion that the interest of the allottees is of utmost importance who have been made to run from pillar to post to receive their paid-for units. The final list of allottees has remained a point of contention between the parties, with discrepancies being alleged by the Respondents. While the IRP has submitted that the CIRP must not be diluted, this Court cannot lose sight of the long and protracted ordeal faced by the allottees. The genesis of the present litigation was under Article 32 of the Constitution, and this Court cannot fail in its duty towards the interest of the consumer at hand.
21. Having regard to the above, and with a view to ensure efficient resolution of this lis, we deem it appropriate to direct that a final list of allottees be verified and prepared by an independent Committee along with a report ascertaining the construction status of the units, which would ultimately assist with the CIRP. We clarify that such a Committee is not stepping into the shoes of the IRP, nor does it seek to weaken the insolvency proceedings that are pending against the Company. It is crucial that some clarity be provided to the allottees and their identities be ascertained, once and for all. The Committee shall consist of Hon’ble Mr. Justice Deepak Gupta, Retired Judge of the Supreme Court of India, along with with Senior Advocate Smt. Rekha Palli (Retd. Judge of the Delhi High Court) and its scope, inter alia, shall be:
a) Verification of the final list of allottees;
b) The current status of construction of the units with its necessary statutory compliance(s), enabling transfer of title and possession;
c) Whether the units are in a condition to be handed over to the allottees;
d) How many of the allottees actually seek transfer of possession & title and how many seek refund of the amounts paid by them;
e) Examining the extent of co-operation extended by the Petitioner with the authorities such as the IRP etc., including allegations of misappropriation of the Company’s funds during the insolvency process and steps required to be taken by the Petitioner in that regard
f) Examine the grievances of the allottees who await compliance of settlement already arrived at with the Petitioner; and
g) Any other relevant factor, that the committee may deem fit.”
(emphasis supplied)
21. In furtherance of the above order, the Committee submitted its Report to this Court on 22.01.2026. The contents thereof are discussed in the later part of this judgment.
22. It is in this backdrop that we proceed to examine the submissions raised by the parties. We have heard Mr. Shyam Divan, learned senior counsel for the petitioner. We have also heard, Mr. Vipin Sanghi, learned senior counsel for the IRP; Mr. Dhruv Mehta, learned senior counsel; Ms. Meenakshi Arora, learned senior counsel; Mr. Gopal Sankaranarayanan, learned senior counsel; Ms. Aditi Mohan, learned counsel; Mr. Shyam D. Nandan, learned counsel; Ms. Kumud Lata Das, learned counsel; Ms. Akshaya Ganpath, learned counsel; and Mr. Sahil Sethi, learned counsel for the allottees; Mr. Atmaram N.S. Nadkarni, learned senior counsel for UPSIDA and counsels for various respondents. Before we proceed to the issues, we examine certain developments, that have taken place, after the grant of bail in the case at hand.
DEVELOPMENTS AFTER GRANT OF BAIL
IRP AND INSOLVENCY PROCEEDINGS
23. It is a matter of record that insolvency proceedings have been invoked against the petitioner’s companies under the Insolvency and Bankruptcy Code, 20167. A petition was preferred by the allottees under Section 7 of the IBC on 09.06.2021, seeking initiation of Corporate Insolvency Resolution Process8 against BIIPL and another concern of the petitioner, Grand Venezia Commercial Towers Pvt. Ltd9 on account of failure to complete construction and handover units. Thereafter, other corporate debtors have joined the proceedings as well.
24. On 04.12.2023, the NCLT admitted the petition and the IRP, Mr. Mukesh Gupta came to be appointed. A moratorium was imposed in line with Section 14 of the IBC. I.A. No. 168053 of 2025 has been filed by the IRP, seeking permission to intervene in this matter, pursuant to leave granted by this Court.
25. To give a brief history, the order of admission was challenged by the Companies of the petitioner before the NCLT vide Company Appeal (Ins.) No. 1593 and 1594 of 2023. During the pendency of the appeal, the NCLAT vide interim order dated 07.12.2023 directed “no further steps” be taken in furtherance of order dated 04.12.2023. The NCLAT had appointed an Observer vide Order dated 25.04.2025, who had submitted a Report dated 15.05.2025 pertaining to indicating the status of construction of the units. The said appeal came to be finally dismissed on 29.10.2025. The petitioner had preferred an SLP against this order which came to be dismissed by a co-ordinate Bench of this Court vide judgment dated 02.02.2026 in Civil Appeal Nos. 13779 and 13812 of 2025 titled ‘Satinder Singh Bhasin v. Col. Gautam Mullick and Ors’. Consequently, the initiation of IBC proceedings and CIRP have been affirmed in law.
26. Coming to the contentions of the IRP, it has been submitted that the petitioner, acting in violation of the law, has still not handed over the affairs of BIIPL. Consequently, contempt proceedings before the NCLT came to be filed, due to non-handover of the management and affairs of BIIPL to the IRP.
27. Furthermore, after imposition of moratorium under the IBC, the petitioner has siphoned off funds to the tune of Rs. 74 crores from GVCTPL to related concerns, namely: (i) Niche Builders and Contractors Private Ltd.10; (ii) Vinamr Infrastructure Private Limited11; and (iii) Bewealthy Properties Private Limited12. The ultimate beneficiary of this siphoning off has been the petitioner. The IRP further submitted the action against these companies has been initiated vide issuing of demand notices dated 27.01.2026, calling upon them to restore the amounts in question. Moreover, it has been argued that the petitioner has attempted to justify these transactions as routine business transactions, which is a bald assertion and no material has been placed on record to substantiate these transactions.
28. Lastly, it is the case of IRP that the petitioner cannot state that even after imposition of moratorium the directors of BIIPL and GVCTPL retained control over these companies, in view of the order of dated 07.12.2023 of the NCLAT, whereby “no further steps to be taken” was granted in favour of the petitioner. The NCLAT vide clarificatory order dated 07.03.2025, has a put a rest to this issue, whereby applications seeking clarification of the abovementioned order dated 07.12.2023 were decided. The NCLAT observed:
“9. A bare perusal of the order dated 07.12.2023 passed by this Tribunal shows the Tribunal only granted a stay on further steps to be taken by the IRP.
Thus we cannot read the order dated 07.12.2023 as granting status quo ante or disturbing the fiction of law so created by the Sections above of the IBC, 2016.
….
15. Thus considering the Statute and the law discussed above we find the natural consequence of order dated 04.12.2023 would be the entire management of the affairs of the Corporate Debtor, including preservation and protection of its assets, shall vest with IRP by the legal fiction so created.
16. We are of the considered view that no further steps to be taken would not mean the Board of Directors of the Corporate Debtor shall continue to manage the affairs of the company.”
(emphasis supplied)
29. While we would be considering the submissions raised by the IRP, issue-wise in the following paragraphs, we must clarify one aspect at the threshold. The petitioner has submitted that the IRP ought not to be heard in the present proceedings as they are limited to cancellation of bail. We are not inclined to accept this submission. In our view, it is imperative to consider the contentions of the IRP, which is the statute-mandated in-charge of the petitioner’s companies as on date. It is also the custodian of records of those companies. They are the very same companies, with the petitioner as its director, from where siphoning and mismanagement has been alleged in the FIRs, which formed the subject matter of petitioner’s Writ Petition under Article 32, in which he was granted bail.
UPSIDA DUES
30. It is the contention of UPSIDA that the subject land was allotted to the petitioner by them for building ‘one project’ consisting of a mall, commercial spaces from the 3rd to 15th floor and a Hotel above that. It has been submitted by UPSIDA that initially, 37,500 sq. mts. of land were allotted to the petitioner vide allotment letter dated 05.08.2006. In furtherance thereof, a lease deed dated 23.08.2006 was executed. A further area of 3298 sq. mts of land was added via allotment letter dated 10.09.2008 and a lease deed dated 30.03.2009. The relevant clauses of these lease deeds are as follows:
(a) Clause 3(j)(b) reads that tripartite lease deeds of the built up premises will be executed by UPSIDA with the ultimate allottees of the units. UPSIDA will be transferring the proportionate undelivered interest in the land while the petitioner will be transferring the interest in the built-up space.
(b) Clause 8(d) specifies that all works had to be completed within five years from the date of allotment.
31. A Part Completion Certificate was issued on 16.04.2015, subject to the conditions mentioned therein. The UPSIDA has submitted that the Part Completion Certificate cannot be said to be valid as on date, due to non-compliance of the enumerated conditions. Meanwhile, the petitioner instituted Civil Suit No. 257 of 2018 challenging clauses of the lease deed seeking relief of execution of bipartite sub-lease deeds. The suit remains pending.
32. The UPSIDA had moved a letter to the State Government dated 27.04.2023 with respect to cancellation of the Part Completion Certificate. However, it is their case that pursuant to a meeting with the State Government, it was decided that cancellation of the Part Completion Certificate, at this stage, would not be appropriate as it would jeopardize the interest of the allottees.
33. It is the UPSIDA’s case is that the petitioner has never called upon UPSIDA to execute tripartite sub lease deeds, contrary to the terms and conditions of the lease. Despite being enlarged on bail by this Court and being asked to settle the claims of the allottees, the petitioner has still not submitted a final undisputed list of allottees to UPSIDA. Pursuant to the order dated 09.02.2024 of this Court, only an unsigned list of 332 allottees was received by UPSIDA vide letter dated 21.02.2024. The submission of a final list of undisputed allottees is an essential condition for execution of tripartite sublease deeds with the allottees of the units.
34. The UPSIDA further submitted that the petitioner also sought conversion of the subject leasehold land to freehold. For this purpose, a Writ Petition bearing number 3790/2022 was filed before the High Court of Judicature at Allahabad. The said writ petition was transferred to this Court as T.C. (Civil) No. 82/2022 and came to be dismissed vide order dated 17.03.2023.
35. It has been submitted that the petitioner has defaulted in payment of outstanding dues to UPSIDA. It is the UPSIDA’s case that as per the lease deed dated 23.08.2006, the sanctioned ground coverage was 60% and Floor Area Ratio13 was fixed as 1.8. Thereafter, the FAR was increased to 4.0 without taking any additional payment from the petitioner or obtaining permission from the Board. The Commissioner UPSIDA vide letter dated 03.07.2018 wrote to the State of U.P., pointing out irregularities in the process of allotment to the petitioner. Therein it was also pointed out that the FAR was increased without any additional payment and clarification was sought as to charge of additional payment on the petitioner. Vide letter dated 28.06.2024 by Infrastructure and Industrial Development Commissioner, State of U.P. to the Chief Executive Officer, UPSIDA, the State Government clarified that UPSIDA is the competent Authority to take decision as to whether charge for extra FAR should be levied. Consequently, on 06.08.2024, an additional demand of Rs. 54.38 crore towards FAR has been raised upon the petitioner, out of which only an amount of Rs. 8.10 crore has been paid till date.
36. It is also a matter of record, that on 12.08.2024, the petitioner had assailed the dues of the UPSIDA before the High Court of Judicature at Allahabad (Writ C. No. 26964 of 2024) titled as ‘Bhasin Infotech and Infrastructure Pvt Ltd v. State of UP & Ors’, which came to be disposed of vide order dated 08.09.2025, with liberty to the UPSIDA to approach the IRP, for its dues, since insolvency proceedings are still pending. Indisputably, SLP (C) Diary No. 52919/2025 titled as ‘Satinder Singh Bhasin v. State of Uttar Pradesh & Ors.’ against the same order stands dismissed vide order dated 15.10.2025. UPSIDA has since filed its claim before the IRP, in accordance with the scheme of the IBC.
37. It is also submitted that delay in completion of the subject project and execution of sub-lease deeds is completely attributable to the petitioner. Till date, the petitioner has not sought a Final Completion Certificate. UPSIDA has not impeded the registration process and is ready to execute the sub-lease deeds, subject to a payment of Rs. 44,89,67,742/- towards its dues, as well as submission of a final undisputed list of allottees and rectification of discrepancies in the allotment list.
38. The response of the petitioner to these averments is that the property was in fit condition and resultantly, the UPSIDA had issued a Part Completion Certificate. Moreover, this Completion Certificate has not been cancelled or taken back. The FAR charge has been increased unilaterally and to create an impediment in the registration of tripartite lease deeds. The petitioner has been ready and willing to handover possession to the allottees, while the UPSIDA has refused to do so.
39. In the above backdrop, we now proceed to examine the case at hand for cancellation of bail, issue-wise, given the submissions raised at the Bar.
ALLEGED VIOLATIONS OF CONDITIONS
40. The petitioner has submitted that the grounds on which bail can be cancelled have been settled by this Court in P. v. State of Madhya Pradesh14; Daulat Ram v. State of Haryana15; and Bhuri Bai v. State of Madhya Pradesh16. We find the position of law to have been reiterated by this Court recently in Ashok Dhankad v. State (NCT of Delhi)17. It was observed:
“19. The principles which emerge as a result of the above discussion are as follows:
(i) An appeal against grant of bail cannot be considered to be on the same footing as an application for cancellation of bail;
(ii) The Court concerned must not venture into a threadbare analysis of the evidence adduced by prosecution. The merits of such evidence must not be adjudicated at the stage of bail;
(iii) An order granting bail must reflect application of mind and assessment of the relevant factors for grant of bail that have been elucidated by this Court.
[See: Y v. State of Rajasthan (Supra)
; Jaibunisha v. Meherban [(2022) 5 SCC 465)] and Bhagwan Singh v. Dilip Kumar @ Deepu [(2023) 13 SCC 549]]
(iv) An appeal against grant of bail may be entertained by a superior Court on grounds such as perversity; illegality; inconsistency with law; relevant factors not been taken into consideration including gravity of the offence and impact of the crime;
(v) However, the Court may not take the conduct of an accused subsequent to the grant bail into consideration while considering an appeal against the grant of such bail. Such grounds must be taken in an application for cancellation of bail; and
(vi) An appeal against grant of bail must not be allowed to be used as a retaliatory measure. Such an appeal must be confined only to the grounds discussed above.”
CONDITION OF DEPOSIT OF 50 CRORES
41. Condition (vi) of the order granting bail read:
“The petitioner shall deposit an aggregate amount of Rs 50,00,00,000-/- (Rupees fifty crore only) before the Registry of this Court as a precondition for grant of bail.”
42. At the first instance, the respondents/applicants submitted that it was on the petitioner, in his personal capacity to deposit the aforesaid amount. However, the petitioner has used funds of BIIPL and other related concerns to secure bail. For this purpose, it has been submitted that BIIPL could not have advanced any such loan to the petitioner, in the absence of a special resolution passed by the Company. This act of the petitioner was in direct contravention of Section 185 of the Companies Act, 2013, which expressly stipulates that a loan to a director of a company could have been advanced only upon approval by way of a special resolution.
43. Similarly, the IRP has submitted that the petitioner has been arrayed in the FIR in his personal capacity. The relief sought in the writ proceedings before this Court was in personal interest and, therefore, the condition directing deposit of Rs. 50 crore was imposed specifically upon him as a bail condition. However, the petitioner unlawfully sourced the funds from BIIPL. The petitioner, in his response, to IA No. 168053 of 2025 has stated that the sum of Rs. 50 crore was ‘borrowed’ from BIIPL.
44. On the other hand, the petitioner has submitted that from the date of deposit till the transfer of the amount to the Trial Court, no objection was raised to the deposit of the aforesaid amount. Furthermore, the IRP cannot be permitted to object to raising grievance against the deposit, which was made in 2019, since the look-back period permitted under Section 43 and 45 of the IBC being limited to two years.
45. On the merits of this issue, it is submitted that the deposit was made by BIIPL, for its director – the petitioner. In the books of accounts, the transfer has been shown as a surety deposit. Pertinently, there is no embargo under the Companies Act, 2013 for such a deposit to be made. In case there is an embargo, that would not vitiate the deposit but would be reason for consequences in terms of the Companies Act, 2013. Moreover, the petitioner and BIIPL have acted bonafide to ensure the petitioner is enlarged on bail so as to enable settlement of grievances of the respondents. On the aspect of contradiction in the petitioner’s stand, it has been submitted that the account statements reflect that for the purposes of Rs. 50 crores, an amount of Rs. 24 crores was advanced by different companies at the request of the petitioner and the remaining 26 crores was advanced by BIIPL. Therefore, there has been no contradiction in the stand of the petitioner. As such, the amount of 24 crores, has been subsequently returned by BIIPL. The breakup of amounts so arranged, as reflected in the affidavit filed by petitioner dated 17.02.2026, is as follows:

46. Upon a consideration of the above submissions and the breakup as filed by the petitioner himself, it cannot be disputed that the amount of Rs. 50 crores has originated from the funds of BIIPL and other related entities. We are inclined to agree with the submissions advanced by the respondents. The condition requiring deposit as a prerequisite for grant of bail, was imposed upon the petitioner in his individual capacity. This condition required bonafide, if not strict, compliance.
47. An alarming aspect is that no board resolution has been passed by BIIPL before disbursal of the amount to secure his bail. Similar is the case for amounts received from different entities by BIIPL for this purpose. For this, we advert to Section 185 of the Companies Act, 2013, as rightly submitted by the respondents which reads as under:
“185. Loans to directors, etc.—(1) No company shall, directly or indirectly, advance any loan, including any loan represented by a book debt to, or give any guarantee or provide any security in connection with any loan taken by,—
(a) any director of company, or of a company which is its holding company or any partner or relative of any such director; or
(b) any firm in which any such director or relative is a partner.
(2) A company may advance any loan including any loan represented by a book debt, or give any guarantee or provide any security in connection with any loan taken by any person in whom any of the director of the company is interested, subject to the condition that—
(a) a special resolution is passed by the company in general meeting:
Provided that the explanatory statement to the notice for the relevant general meeting shall disclose the full particulars of the loans given, or guarantee given or security provided and the purpose for which the loan or guarantee or security is proposed to be utilised by the recipient of the loan or guarantee or security and any other relevant fact; and
(b) the loans are utilised by the borrowing company for its principal business activities.”
48. On a plain reading of the above Section, it is evident that a company cannot directly or indirectly give a loan to its director without passing a special resolution in a general meeting or unless the funds correlate to the principal business activities of the company. In the present case, it cannot be said that the loan to secure bail for the petitioner was connected to the company’s principal business activities by any stretch of imagination. Therefore, the deposit of the amount through the purported loan taken by the petitioner from BIIPL, in the absence of any documentary approval or compliance with statutory requirements of Section 185 of the Companies Act, 2013 cannot be sustained.
49. We also notice that not a single rupee has been invested from the personal funds of the petitioner. In reality, he has availed an interest free commercial benefit from BIIPL, which does not make any sense for the Company. The absence of even basic safeguards, such as pledging of shares or provision of security is representative of how these transactions lack any bonafide/lawful financial structure.
50. The petitioner cannot be permitted to evade responsibility by submitting that ‘no objection’ was raised at the time of submission of the said amount before this Court. In our view, the petitioner’s submission that IRP cannot raise an objection, as the look back period for transactions under the IBC is two years, has to be rejected. In our view, the IRP has rightly placed reliance on Sections 49 and 66 of the IBC, wherein no time limit has been specified for transactions which are intended to defraud creditors. In the case at hand, where the purported loan has been taken in complete disregard of statutory requirements, the above Sections will apply, and the contentions raised by the IRP can be relied upon.
51. Moreover, the submission on Rs. 24 crores being returned to the other entities holds no water, when it is established at the threshold that taking the purported loan itself violated the condition imposed by this Court.
52. We hasten to add, if the petitioner had bonafide intention, an appropriate application ought to have been moved before this Court seeking leave of making such an arrangement. In the absence thereof, we find no reason to accept the submissions advanced by the petitioner.
53. Therefore, in this view of the matter, we find this issue to be against the petitioner and in favor of the respondents.
Construction not complete
54. The next issue that has been raised by the respondents against the petitioner is that the project is still not complete, which unequivocally demonstrates his intention to avoid settlement and the lack of his bonafide conduct. Reliance has been sought to be placed upon three reports: UPSIDA Report; Observer Report and the Report of the Committee appointed by this Court.
55. Pursuant to an Order dated 29.04.2025 of this Court, UPSIDA officials had visited the project premises and found the units to be in an incomplete condition and filed a Report dated 01.05.2025 to that effect. The relevant portion of the Report is extracted as under:
“Apart from the above, in the portion of the Commercial Tower, which goes up to the 15th floor, it was found that there was no provision for drinking water on any of the floors. Out of the 6 lifts in the said tower, only 1 lift was operational and no proof was provided at the site regarding the functioning of the remaining lifts. No safety certificate was displayed in the lift. Even the lift that was functioning was not operating smoothly. Tiles were installed in the corridors of the respective units. and although a fire system was installed. it was not functional: hose reels. etc.. were not present. Electrical wiring was present in the units. but there were no switch boards. Doors were installed in all the units.
The properties located in the commercial tower are currently not fit for use unless complete facilities are developed or repaired. At present, no other unit in the said tower is in use.
The entry to the commercial tower was not clear or clean, and since the lift was also not functioning properly, movement within the commercial tower was not convenient.
Fire stairway doors were closed/blocked, and some finishing work was pending.
In addition to the above, for the building to be brought into current use and before the execution of the Tripartite Lease Deed, updated No Objection Certificates (NOCs) from the following departments are required, which have not been provided:
1. No Objection Certificate from the Pollution Department
2. No Objection Certificate from the Electrical Safety Department
3. No Objection Certificate from the Fire Department
4. Functionality Certificate for lifts and escalators”
(emphasis supplied)
56. Meanwhile, the NCLAT had appointed an Observer vide order dated 25.04.2025, who submitted a Report dated 15.05.2025 to similar effect, elaborating the condition of the units. The relevant part is extracted hereunder for ready reference:
“8. That upon reaching the 9th Floor of the building, the undersigned observed that a brick wall of about 5 ft. was constructed and there was a vacant space with pillars erected and electrical wires hanging from the ceiling. It was observed that Units on the said floor were not constructed, the flooring was raw, pillars were erected to support the ceiling and for construction of separate units
… … …
9. … that no units have been constructed at the 9th Floor and above, till the terrace i.e. the 15th Floor of the building.
10. … There was no lift access to the Floors above the 12th Floor. Thus, it would be appropriate to state herein that the Units allotted on the 15th Floor have not yet been constructed.
… … …
16. That it would be apposite to conclude that the Financial Creditors having units allotted at the 9th Floor and above i.e. 10th, 11th, 12th, 14th and 15th Floors cannot be given possession immediately as the said floors are incomplete, construction work is left abandoned and no units have been constructed so far.
… … …
28. That in view of the above, the undersigned concludes that at present, the Commercial Tower/Office Building integrated with the mall is only partially built and lacks basic safety measures such as Fire safety, Lift services, adequate lighting, air conditioning, proper bathroom facilities, security etc. It is stated that no fire NOC, fire hydrants and no firefighting equipment and no separate fire exit was found to be in existence during the inspection. The units situated on all floors require substantial amount of work to be done before giving possession to the allottees in a fit and proper state and by no stretch of imagination, immediate possession can be given to the allottees
… … …
31. That considering the above, it is concluded that to handover Mall, the First Floor needs substantial amount of renovation as it lacked basic amenities such as adequate lighting, air conditioning, repair work on the ceiling, bathroom facilities and renovation of the interior of units. Thus, it is concluded by the undersigned that at present, it would not be possible to handover immediate possession of the Units to the owners of shops.”
(emphasis supplied)
57. We now come to the Committee appointed by this Court vide order dated 20.11.2025. Before proceeding to the contents thereof, the IRP has sought to point out the petitioner’s conduct before this Committee does not inspire any confidence and shows a lack of bonafide intent. For instance, halfway during the site visit by the Committee, the petitioner left the premises. Moreover, the Committee had to repeatedly request the petitioner to furnish a list of allottees. It is alleged that on one occasion, the petitioner informed the Committee that he has already submitted the final list of allottees to this Court. Pertinently, while a list of 1764 allottees (correctness whereof itself is in dispute) was submitted to this Court on affidavit, a list of 774 allottees has been submitted by the petitioner before the Committee. The relevant observations made by the Committee in its Report dated 23.01.2026 are as follows:
“7. The Committee had a virtual meeting with the IRP on 24 November 2025.
… … …
Decisions Taken
The Committee directs Mr. Bhasin to furnish a comprehensive list of all allottees, clearly indicating the original allottees, those who have subsequently withdrawn from the project, those whose allotments have been cancelled and the remaining unsettled allottees. The list is also to contain the email ids and phone numbers of each of the allottees. Since Mr. Bhasin submitted that such a list has already been filed before the Hon’ble Supreme Court, the same may be placed before the Committee, provided it adequately reflects the aforesaid particulars, within one week from today.
… … …
8. The Petitioner, supplied the list of allottees only on 20.12.2025. Even this list did not comply with the directions of the Committee and accordingly, Office of the Chairperson of the Committee sent a communication on 20.12.2025 at 2:22 pm directing that a list with complete information be sent. A list of allottees including all details available is being filed separately in Excel Sheet.
… … …
10 . On 20.12.2025 at 8:34 pm the petitioner sent another list of allottees and some maps.
11. A site inspection of the Project was conducted by the Committee on 21.12.2025 between 10:00 a.m. and 1:00 p.m., where a number of allottees were also present. Taking into account the technical nature of the grievances, the Committee deemed it necessary to avail proper technical assistance of Mr. Anant Kumar, Former Special Director General, CPWD and Former Engineer- in-Chief, PWD, Delhi. He was assisted by Mr. Sudhir Kumar Arya, former Superintending Engineer, DDA. Mr. Satinder Singh Bhasin was also present at the initial stage. Here he came up with the plea that the hotel portion of the project is totally different which is being handled by some other entity and he has no concern with the same. On the other hand, the allottees stated that the company in charge of the hotel is also a part of the Petitioner’s group. Thereafter, physical inspection was conducted by the Committee, but the Petitioner left when less than half of the building had been inspected.
… … …
13. (a)
(i) As detailed above, in order to verify the list of allottees, Mr. Bhasin was given many opportunities to provide the complete list of allottees. He finally submitted a list of allottees on 20.12.2025 but according to the allottees as well as the IRP, the list is neither correct nor complete.
….
(iv) The Committee is of the view that the renumbering of floors, renumbering of commercial spaces has led to a great deal of confusion and the petitioner is responsible for the same. However, no clear-cut finding about the disputes raised can be given by the Committee.
13(b)
ii. On inspection it was found that at the opposite side of the entrance to the mall there was a huge double height construction which was to house the hotel lobby and an aquarium. The luxury spaces adjoin this area. It is obvious that the buyers had paid a premium price for these luxury spaces as they were to be part of the hotel block. As things stand today, these luxury spaces are at the rear side of the mall, above the food court. They are totally unfit for luxury outlets.
…
vi. At the time of inspection, the elevators were found to be non-functional and the staircases were in a dilapidated condition. The Committee had to walk up almost all the floors. None of the floors were fully complete. On the majority of floors, plastering and painting of walls had not been carried out. Air-conditioning installations and electrical fittings were absent. On certain floors, partitioned cubicles had been erected, though the overall construction remained incomplete.
14. In this regard, the Engineer’s report which sets out the Structural and Construction Status of the project in detail is enclosed herewith as ANNEXURE-A. The conclusions of the Engineer is his report are as follows:
“The report is limited to the commercial complex and shopping mall only, although the hotel is integrated with the mall and commercial complex. Large-scale deviations have been found with respect to the sanctioned plan and the completion plan such as …
Basic facilities such as drinking water and bathrooms are incomplete. The staircases are unfinished. There are no lockable units from the 9th floor upwards. The buildings have started deteriorating, Stones and Tiles from the external façade are falling, and corrosion in the reinforcement has started. There are other quality issues also. The units in commercial complex are not yet ready for handing over to the allottees, even not fit for issue of partial completion as a substantial amount of work remains pending with respect to building finishing and completion, as well as completion of essential services.”
15. However, the Committee is of the opinion that despite the deficiencies, the project site is not beyond repair. While the complex cannot be considered functional in its present condition and currently suffers from substantial work pendency and quality concerns, it possesses the structural foundation required for completion. Through a disciplined technical and regulatory remediation plan, the complex can be transformed into a habitable and functional commercial asset, for which steps would be required to be appropriately monitored.
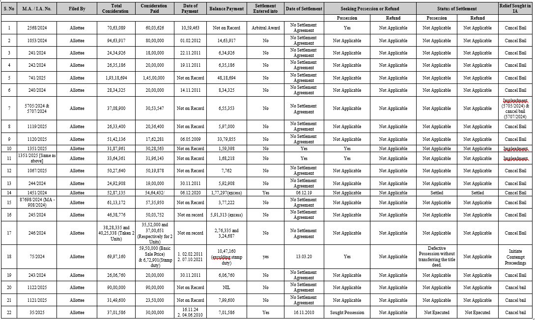
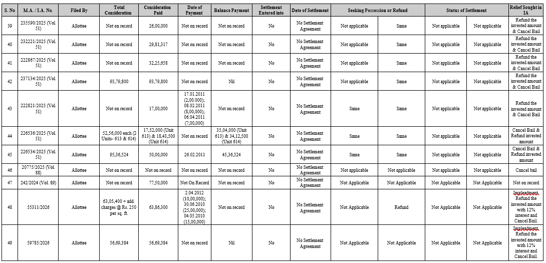
16. From the perusal of the above tables, it is clear that about 45 allottees have received possession of their Units. This number includes those who have taken possession under protest or who have alleged “forcible possession” on account of the unit being incomplete or unfit for possession.
17. About 151 allottees are ready to take possession. 101 allottees are seeking refund of the amount invested by them. There are about 3 allottees who are willing to either take possession or take refund of the sum invested by them along with interest and damages. Details of around 11 allottees are missing.
18. Many of the allottees are claiming refund of more than the principal amount they had invested. This is on account of seeking compensation for the delay in delivery of possession, which, for some allottees was to be effected as early as 2010. Moreover, several allottees are seeking resumption and payment of arrears of Assured Returns that were stopped by the Petitioner.
… … …
20. The IRP stated that he is not receiving appropriate cooperation from the Petitioner. We have also found the petitioner has not fully cooperated with the Committee.
… … …
25. In respect of the role of UPSIDA, there is no reference to this Committee. However, the committee feels that given the report of the expert, many questions arise as to how, the petitioner was permitted to raise construction apparently in violation of the sanctioned plans. It is for the Hon’ble Court to deal with this matter.”
(emphasis supplied)
58. At this stage, it is relevant to advert to the findings of the co-ordinate Bench of this Court, in Civil Appeal No. 13628 of 2025 titled ‘Satinder Singh Bhasin v. Col. Gautam Mullick and Ors’, wherein the IBC proceedings had been called into question. After perusing the evidence on record, this Court categorically found that the project is not in a ‘ready’ condition, where possession can be handed over to the allottees. The relevant findings are as follows:
“31. ‘Handing over/Taking over of possession’ letters issued by Bhasin Ltd. in favour of allottees, recording delivery of possession of particular units, have been placed on record. However, we find that some of those letters pertain to the 1st floor of the building, with which the petitioning allottees in the company petition have no concern. Those letters, therefore, do not further the case of the appellants. A letter was issued in relation to a unit on the 7th floor in favour of one Sheetal Badhwar but the undertaking of that allottee records that the sublease deed with the UPSIDA was yet to be executed. Further, notional possession letters were also issued to allottees, which are of no significance whatsoever. These so- called letters of actual delivery of physical possession, in our considered opinion, have no legal import given the categorical stipulation by the UPSIDA in its allotment letter and also the lease deeds that physical possession should not be delivered to allottees without execution of the tripartite sublease deeds.
… … …
33. We may note that some of the letters issued in the year 2015 by Bhasin Ltd. merely offered notional possession to the allottees. Letter dated 13.10.2015 addressed to Kanwaljeet Singh, one such allottee, is placed on record in this regard. The part- completion/part-occupancy letters and the notional/physical possession delivery letters issued to the allottees, therefore, can be taken to be proof of completion of the construction in all respects, as is being claimed by the appellants. Further, their claim in that regard is also belied by the Commissioner’s Report dated 17.05.2018 filed before the High Court of Delhi in an earlier windingup proceeding. Therein, the Commissioner had recorded that none of the units were ready and fit for occupation as on the date of his inspection. This report formed part of the record before the NCLAT.
… … …
36. Viewed thus in totality, the contention of the appellants that the construction was completed in all respects and possession was delivered to some of the petitioning allottees is found to be without merit and factual foundation. Notwithstanding the letters and documents sought to be relied upon in that regard, the ground reality is otherwise. Neither has the construction been completed nor could possession of units be delivered to the allottees without fulfilling all necessary formalities in that regard after completion of the building in all respects.
37. On the above analysis, we hold that the company petition instituted under Section 7 of the Code against both the corporate debtors by the allottees of 103 units was maintainable on all counts. The petitioning allottees duly established their financial debt and also the default in connection therewith, inasmuch as the units for which they had paid valuable consideration were not made ready and delivered to them till date. We, accordingly, find no error having been committed either by the NCLT in admitting the company petition or by the NCLAT in confirming the same in appeal. Hence, Civil Appeal Nos. 13779 and 13812 of 2025 are bereft of merit and deserve to be dismissed.”
(emphasis supplied)
59. The above findings are in line with the Reports of all the three Committees. Therefore, there cannot be an iota of doubt, with respect to the view adopted by the coordinate Bench on the condition of the units. In the absence of any documentary evidence to the contrary, the view adopted by the coordinate Bench holds credence. Therefore, the submission of the petitioner that the project has been completed without delay and handing over of possession is only impeded by the demand of UPSIDA, stands belied.
60. The conduct of the petitioner is represented by the fact that at this stage, despite repeated attempts, there is a complete lack of essential information regarding the project. There is no clarity on the final number of allottees, the unit number that they have been allotted, the consideration paid and dues remaining. In this situation, execution of tripartite lease deeds also seems improbable.
61. Moreover, the conduct of the petitioner before the Committee appointed by this Court, does not inspire any confidence. The Committee noted that repeated requests had to be made for furnishing the final list of allottees. Moreover, during the site visit by the Committee, the petitioner left half-way. This was an opportunity for the petitioner to show his bonafide intention towards this Court and the allottees, however the petitioner yet again, failed to do so.
62. Consequently, upon a cumulative reading of the above, there can be no doubt that the project is not in a condition where possession can be handed over to the allottees. Therefore, it is clear that at this stage, settlement with those seeking possession is not possible given the condition of the property. We now proceed to consider, whether independent thereof, the petitioner has attempted, bonafidely, to settle all claims of the allottees – was there ever a serious endeavour or a possible attempt to settle the claims? This is what we proceed to examine next.
NO SETTLEMENT AND NO INTENT TO DO SO
63. One of the primary contentions advanced on behalf of the allottees and UPSIDA is that the petitioner has neither settled the claims of the allottees nor ever genuinely intended to do so. It is submitted that such conduct amounts to a clear violation of Condition (viii) of the order dated 06.11.2019 by which this Court granted bail to the petitioner. The said condition reads as:
“(viii) After being released on bail in terms of this order, the petitioner shall make every possible attempt to settle the claims of the concerned complainant(s)/informant(s) as far as possible within six to eight months as ordered by the Court of the Chief Judicial Magistrate, Patiala House Courts while granting bail to the petitioner in FIR No.38/2018 registered with the Economic Offences Wing, New Delhi vide order dated 15th May, 2019.”
64. It is contended that adherence to the aforesaid condition was not a matter of formality but constituted the very foundation of the order granting liberty to the petitioner. The grant of bail was conditional in nature, and the language employed by the Court clearly indicated that such liberty was dependent upon the petitioner making ‘genuine efforts’ to settle the claims of the allottees, with the emphasis on ‘shall’.
65. The condition was imposed to ensure that the investors either receive possession of their units which, of course, had to be in a legally usable condition or a refund of their money within a reasonable timeframe. According to the respondent-allottees, this position was reinforced consistently on several occasions by subsequent orders of this Court. Reliance has been placed on order dated 09.02.2024, whereby this Court directed the petitioner to furnish details of settlement of claims, and also directed the State to ascertain whether there remained any claimants whose claims had not been settled. Pertinently, this Court, vide order dated 13.05.2024, observed that if it were found that the petitioner was not making bonafide efforts to settle the claim of even a single allottee, such conduct could itself be a ground for cancellation of bail. Thereafter, vide order dated 24.01.2025, this Court directed the petitioner to file an affidavit confirming that the claims of all the investors had been settled and observed that, “unless the claim of every investor is resolved, the petitioner cannot continue to avail of the facility of bail”. Finally, by order dated 20.11.2025, this Court expressed its prima facie dissatisfaction, observing that the bail condition was “not being complied with in letter and spirit”, and issued a show- cause notice as to why his bail should not be cancelled. It is in this background that the respondent-allottees submit that the petitioner has failed to comply with the condition in any real or meaningful sense. We have already referred and/or extracted the orders in the first part of our opinion.
66. It is contented that despite the lapse of several years from the grant of bail, the petitioner has neither returned the money to the allottees nor handed over the possession of units in terms of the settlement agreements. According to the respondents, there has been no genuine or bonafide effort on the part of the petitioner to fulfil his obligations, and the steps taken are merely superficial/cosmetic, intended to create an appearance of compliance. The submissions in this regard have been advanced in a three-fold manner.
67. Firstly, it is argued that the impediments cited by the petitioner in executing the tripartite agreements are self-created and not attributable to UPSIDA. The petitioner has sought to justify the non-execution of the sub-lease deeds on the ground that UPSIDA refused to execute such agreements; however, such a defence is false, misleading and suppressive of material facts. UPSIDA has, at all times, been ready and willing to execute sub- lease deeds, subject to the petitioner clearing outstanding statutory dues and obtaining Completion Certificate, as also providing the Authority with the final list of allottees. It is pointed out that approximately Rs.44.89 Crores remain unpaid towards additional FAR (primarily) and charges under other heads. The petitioner’s challenge to such demands has already been rejected by the High Court of Judicature at Allahabad vide order dated 08.09.2025, which has attained finality with the dismissal of the SLP vide order dated 15.10.2025 titled ‘Satinder Singh Bhasin v. State of Uttar Pradesh & Ors.’.
68. Additionally, it is noted that the petitioner has issued allotment letters in the name of GVCTPL, which is not the entity authorised by UPSIDA as the lawful lessee of the land and had no valid developmental rights to collect money from the allottees. UPSIDA only authorises BIIPL, and the conveyance deed could only be executed for the units allotted by it. Thus, the allotments made through GVCTPL are not legally valid for registration of sublease-deeds, and consequently, tripartite agreements cannot be executed in respect of such allotments. Therefore, it is submitted that the delay and inability to execute such transfer are solely attributable to the petitioner.
69. Secondly, Ms. Meenakshi Arora, learned Senior Counsel, has submitted that the petitioner has failed to comply with the terms of settlement agreements. Under such agreements, the petitioner had undertaken to either (i) hand over possession of the units with clear title within a period of 15 months from the date of settlement, or (ii) in the alternative, refund the entire amount received from the allottees along with agreed interest. However, neither of these obligations have been fulfilled. The petitioner did not take any concrete steps to comply with even a single term of the settlement agreement, thereby violating the bail condition.
70. Lastly, it is contended that settlement was, in fact, incapable of being done from the very beginning, as the project remains incomplete and unfit for habitation and possession, if any, merely notional. In this regard, reliance has been placed on various reports forming part of the record. The Status Report dated 11.09.2024 filed by the IRP appointed by the NCLT observes that the petitioner has not obtained a Final Competition Certificate, and that the requisite NOCs, including fire safety and pollution clearances, have not been issued. The UPSIDA Report dated 01.05.2025 indicates serious deficiencies in the premises. It records that only one out of six lifts was functional, and even that was not in proper working condition. Although electric wires were installed, no switchboards were present. Essential services, such as air conditioning, were not operational, rendering the premises unfit for use, unless complete facilities were provided. Further, the Observer’s Report dated 15.05.2025 and the Final Report of the Independent Committee dated 23.01.2026 also indicate that several portions of the project remain incomplete, basic infrastructure is lacking, and the units are in deplorable condition making them unfit for occupation. Hence, it would not be possible to hand over immediate possession to the allottees. It is, therefore, submitted that the petitioner entered into a settlement agreement despite being fully aware that possession could not be handed over with the lease deed executed, within the agreed timelines, which clearly shows a lack of genuine intention to hand over possession from the very outset.
71. To substantiate the above submissions, the respondent- allottees have drawn our attention to several instances to point out inconsistencies in the petitioner’s affidavits filed before this Court, and the absence of bonafide efforts to settle. Respondent no.169, in particular, has contended that initially in the Status Report dated 16.10.2021 he was placed in the category of “unsettled but pending in mediation” and not under the category of allottees who had defaulted in payment. However, subsequently the petitioner had taken a stand that the allotment stood cancelled on account of non-payment of balance consideration, this according to the respondent, is a mere afterthought contrary to his own record. It was also argued that, in the supplementary affidavit filed by the petitioner it was recorded that attempts to settle were being made with allottees including respondent no.169, however despite this, the petitioner proceeded to unilaterally allot the very same units to other third parties.
72. The respondent-allottees have further raised the issue of double allotment. It is submitted that the same units have been allotted to more than one allottee. The material on record, including the petitioner’s own affidavits, is stated to reflect inconsistencies showing that units earlier allotted to certain allottees have subsequently been shown as allotted to others. Therefore, making the settlement not possible.
73. The petitioner, on the other hand, has sought to rebut the above submissions by contending that he has made genuine and sincere efforts to settle with the allottees in compliance with Condition (viii). At the outset, the petitioner has stated on record that out of a total of 221 allottees before us in the instant writ petition, 54 allottees have been settled by possession of their units, and 47 allottees have received refunds pursuant to the settlement agreements after the grant of bail as on 23.02.2026. These figures, according to the petitioner, clearly demonstrate that settlement has not remained merely on paper but has been effectuated in practice.
74. The petitioner further submits that execution of the settlement agreements has not been disputed by the respondent- allottees and was entered into in good faith, with the expectation that the registration of the units would be facilitated by UPSIDA. The primary grievance of the allottees is with respect to the registration of their units and execution of the tripartite lease deed, which is the sole prerogative of UPSIDA and beyond the control of the petitioner. Despite making repeated representations dated 10.09.2021; 06.10.2021; 05.04.2023; and 01.07.2024, UPSIDA has not proceeded to execute the sub-lease deeds and has raised additional demands, thereby delaying the process of transfer of title. In these circumstances, the alleged non- compliance is attributable to external impediments and cannot be treated as a ground for cancellation of bail.
75. The demand by UPSIDA vide its letter dated 06.08.2024 for additional FAR, according to the petitioner, is illegal and unsustainable. It is submitted that the petitioner had already paid the requisite FAR charges way back in the year 2010 and obtained a Part Completion Certificate in 2015. It is only after a lapse of 9 years that UPSIDA, belatedly, has raised this demand of Rs.54.38 Crores towards additional FAR and other charges from BIIPL. In order to prove his bonafides, the petitioner had also deposited Rs.8.10 Crores, pursuant to the order dated 20.09.2024 of the High Court of Judicature at Allahabad, which also directed UPSIDA to initiate registration of units. However, despite such deposit and direction, UPSIDA has not proceeded with the registration process.
76. It is further submitted that the petitioner, immediately after the grant of bail, undertook substantial steps to remove financial encumbrances affecting the project so as to enable the execution of conveyance deeds in favour of the allottees. For this, the petitioner entered into One Time Settlements with Punjab National Bank and Punjab & Sind Bank, and settled the outstanding loan account of BIIPL of approximately Rs.116 Crores and obtained “No Dues Certificate” dated 23.12.2021 and 24.08.2022. It is contended that this step was essential, as without clearing such encumbrances, transfer of units in favour of the allottees would not have been possible.
77. The petitioner also submitted that the allegation that the project is incomplete and unfit for possession is misconceived. It is pointed out that the project had already received a Part Completion Certificate dated 16.04.2015, a Clarification Letter dated 27.06.2015, and an Occupancy Certificate dated 03.03.2017, which indicates that construction of the units is complete. It also submitted that a mall in the same building is functioning on the basis of these three Certificates. Additionally, the Final Committee Report dated 23.01.2026 also notes that despite some deficiencies, the project site is not beyond repair. The petitioner has, in fact, filed comments to the finding contained in the Final Report on 04.02.2026, wherein he proposed certain solutions which he is willing to undertake in order to address the shortcomings. According to the petitioner, these steps would be in the interest of the project and a large number of allottees, and would make the units operational and fit for possession for those allottees who are awaiting registration of their units.
78. With regard to the objection relating to allotments done under the name of GVCTPL, the petitioner submits that GVCTPL was only a facilitating or marketing entity, whereas the land and development rights always vested with BIIPL, which is recognised by UPSIDA as the lawful lessee. At all times, BIIPL retained full legal responsibility to execute sub-lease deeds in favour of the allottees to whom allotments were made through GVCTPL. Therefore, this objection of the respondent is stated to be merely technical and insufficient to invalidate the settlement process.
79. Insofar as the allegation of double allotment is concerned, the petitioner submits that such an allegation is misconceived. It is contended that, in certain cases, earlier allotments were cancelled due to non-payment of the balance consideration by the respective allottees, and their units were thereafter reallotted. According to the petitioner, such reallocation is permissible and cannot be considered illegal or an instance of double allotment. Therefore, on the basis of the above, it is submitted that the petitioner has made honest efforts to comply with the condition of settlement and there has been no wilful or deliberate violation of the same.
80. Having considered the above submissions and perused the material placed on record, it is clearly evident that the requirement was not merely to enter into settlement agreements or to make an ‘attempt to settle’, but to actually resolve the claims of the allottees, either by handing over possession with a clear title or by refunding the principal amounts along with agreed interests.
81. At the foremost, it should be noted that from the very inception, it was the clear intent of this Court that the petitioner takes effective steps to settle the claims of the allottees. The underlying purpose of the order granting bail was to ensure that the allottees get the desired relief, either by way of possession or refund of the amounts due. This Court vide order dated 24.01.2020 clarified that all the aggrieved parties were permitted to approach the Delhi High Court Mediation Centre, to resolve their disputes. The importance of the said condition was further strengthened by this Court vide order dated 08.08.2023 whereby liberty was granted to the aggrieved parties to prefer an application for cancellation of bail in case of failure to abide by Condition (viii). Thereafter, this Court, time and again, through its orders dated 09.02.2024; 13.05.2024 and 24.01.2025 repeatedly called upon the petitioner to settle the claims of the allottees, however, to our dismay he failed to do so.
82. Therefore, in these circumstances, we find it difficult to accept that the petitioner has made genuine and meaningful efforts to settle the claims of the allottees. Despite the passage of time, a large number of allottees have neither received possession nor refund. Even in cases where settlement agreements have been executed, the terms thereof have not been fulfilled. These agreements have remained largely on paper and not resulted in actual relief to the allottees. For instance, we look at the case of respondent no. 18, Ms. Charu Saxena, as submitted by Mr. Dhruv Mehta, learned senior counsel. While a settlement agreement was reached on 13.03.2020 to settle the disputes in the FIR, either with possession within 45 days or refund of money being the sale consideration within 15 months in furtherance of orders passed by this Court. Despite possession not being handed over, for whatever reason may be, no refund has been paid till date in consonance with the mediation agreement. Mr. Sahil Choudhary, applicant in Contempt Petition No. 75 of 2024 (respondent no. 139) has submitted to similar effect, having entered into a settlement agreement dated 13.03.2020. In furtherance thereof, stamp duty totalling up to Rs. 6,72,901/- has also been paid, however no action has been taken by the petitioner to handover possession. Respondent nos. 22-Mr. Guru Prasad Banerji; 27-Mr. Anil Kumar Nahar; and 28-Ms. Veena Gupta are in the exact same position. So is the position qua the allottees represented by Ms. Meenakshi Arora, learned senior Ccunsel; Ms. Aditi Mohan, learned counsel; Mr. Shyam D. Nandan, learned counsel; Ms. Kumud Lata Das, learned counsel; Divyansh Thakur, learned counsel; Ms. Akshaya Ganpath, learned counsel; and Mr. Sahil Sethi, learned counsel.
83. Hence, in our considered view, mere execution of these agreements, without their implementation, cannot be treated as compliance with the condition imposed by this Court.
84. The affidavits filed on behalf of the petitioner also do not present a clear or consistent picture. While the petitioner has listed several allottees as having been ‘fully settled’, the terms of the settlement agreement themselves indicate that such settlements were conditional and subject to further steps, including execution of tripartite sub-lease deeds and handing over of possession or refund, which have not been taken. It is pertinent to mention that in majority of the cases the petitioner has neither refunded the money nor handed over possession. In cases, where it is claimed that possession is handed over, we find that it is only notional in nature, as the project till date lacks Final Completion Certificate and necessary clearances. Therefore, without such compliances, valid possession cannot be said to have been delivered.
85. In our considered opinion, the attempt to attribute delay or impediment on UPSIDA is also not convincing, as the requirement to clear statutory dues, including additional FAR charges is a necessary precondition for executing sub-lease deed. As is evident from the record, UPSIDA has been ready to execute the tripartite agreement contingent on the fact that the petitioner submits a final, undisputed, floor-wise list of allottees duly supported by valid Part Completion Certificate and pay the amount pending towards additional FAR. However, we find that the petitioner has been hoodwinking. Despite several orders of this Court, dated 09.02.2024 and 25.08.2025, the petitioner has failed to provide an authentic record of, (a) the number of allottees; (b) the total area of the project; (c) number of allottees settled either through possession or refund; (d) amount of consideration paid by the allottees; and (e) number of allotments that stood cancelled due to non-payment. He has also failed to take genuine steps to obtain a Completion Certificate. Furthermore, since UPSIDA does not recognise GVCTPL, no valid tripartite lease could be registered for the units allotted under its name. Even the Reports on record, as well as the finding returned by coordinate Bench of this Court as discussed supra, clearly indicate that the project is not in a condition for handing over possession, owing to incomplete infrastructure and absence of essential services like operational lifts, air conditioners etc.
86. Respondents have also brought to our attention the issue of double allotment, which is a matter of concern. The material placed on record suggests that same units have been allotted to more than one allottee at different points of time. Although the petitioner has sought to explain this as re-allotment following cancellation, we find that the lack of clarity in the records coupled with the inconsistencies in the affidavits creates uncertainty regarding status of such units. This, in turn, raises serious doubts about the feasibility of effecting a lawful and complete settlement.
87. To give an example, we refer to the allegation of double allotment raised by respondent no. 169 – Col. Gulshan Singh Juneja. It has been submitted that in the affidavit submitted by the petitioner on 24.01.2025, the Unit No. 617 is shown to be allotted to Mr. Sanjeev Khattar and Unit No. 648 as Mr. Giri Raj Gupta. Thereafter, in a subsequent affidavit dated 25.08.2025, Unit No. 617-618 is shown to be allotted to the said respondent and Unit No. 618 to Mrs. Poonam. Subsequently, in an affidavit dated 15.09.2025, Unit No. 617 has been shown to be with Mr. Sanjeev Khattar and Unit No. 648 with Mrs. Sonia Gupta. The petitioner has only explained this as an ‘inadvertent error’.
88. To show a representation of the settlement status of the allottees, a chart depicting the status in the applications filed by some of the allottees before this Court and the Status Report filed by the State of U.P. in compliance with order dated 13.12.2024 of this Court is annexed below as ‘A-1’ and ‘A-2’, respectively.
89. In these circumstances, it is difficult to accept that the settlements were entered into with a bonafide intention of being fulfilled. The fact that the possession in many cases remains notional or not handed over, and the failure to refund amounts within agreed timelines, shows that the said condition has not been complied with in substance. A chart depicting the same is annexed as Annexure A-2 to this judgment. The condition imposed by this Court required real and effective resolution of claims of the allottees, which has not been achieved. Accordingly, in our considered opinion, it must be held that the condition has not been complied with in letter and spirit, and we find this issue to be in favour of the respondents.
Conduct with specific allottees
90. Carrying forward the issue of settlement, we may also consider the conduct of the petitioner with specific allottees. It has been alleged against the petitioner that he has interfered with certain allotments by creating ante-dated and fabricated documents.
91. Specifically, we advert to the submissions raised by Ms. Aditi Mohan, on behalf of allottees, Mrs. Lauleen Kaur Bhalla and Mr. Jagvinder Singh Bhalla, applicant in M.A. No. 20977 of 2025. It has been submitted that an allotment letter was issued to her on 04.08.2007 for unit numbers FF 48,113,136,137,162 and 164. Meanwhile Mr. Jagvinder Bhalla was issued an Allotment letter for unit numbers UGF 11 on 14.11.2007. Clause 4 of the letter read that additional charges would be payable on offer of possession. Clause 21 thereof read that upon failure to fulfil terms of the Agreement, the earnest money (to the tune of 10% of the sale consideration) would stand forfeited and the remaining amount will be refunded.
92. The petitioner submits that BIIPL sent a “final demand notice/offer of possession” to both the applicants demanding charges on 30.01.2015 (Mr. Jagvinder Singh Bhalla) and 31.01.2015 (Mrs. Lauleen Kaur Bhalla). Allegedly, due to non- payment of additional charges, Mr. Bhalla’s allotment came to be cancelled vide letter dated 13.05.2015. Mrs. Lauleen’s unit purportedly stood de-allocated on 08.08.2015. The applicant’s case is that these amounts were sought to be charged, before completion of construction of their units, which is not in consonance with the terms of the allotment.
93. Interestingly, it has been pointed out that while it is the petitioner’s case that Mr. Bhalla’s allotment was cancelled, in the Status Report dated 16.10.2021 filed before this Court, Mr. Bhalla has been shown as “unsettled but pending mediation”. While Mrs. Lauleen, has been placed under “allottees who have not made complete payment in terms of the allotment letter”. Meanwhile, a different stand has been taken in reply to the applicants’ miscellaneous application, wherein it has been stated that the units of both the applicants were de-allocated/cancelled due to default in payment on 08.08.2015 and 13.05.2015.
94. Another aspect of this allotment is that the applicants have alleged that through ante-dated and fabricated documents, their units were transferred by BIIPL to GVCTPL on 15.04.2015 which is prior to the purported cancellation and de-allocation itself. Upon a perusal of the said document, the unit of Mr. Bhalla is found at S. No. 81 of the list. The applicants submit that they only became aware of this transaction in 2025. The petitioner submits that the deed of assignment was for tax efficiency and the document does not create any third-party rights as alleged.
95. Seeing the above chain of events, the conduct of the petitioner does not inspire any confidence. Taking the example of Mr. Bhalla’s units, as discussed supra, on one hand it has been submitted by the petitioner that his allotment was cancelled due to non-payment of dues, but on the other hand in another affidavit, he is shown to be ‘pending mediation’.
96. Another example is the submissions raised by respondent no. 169, Col. Gulshan Singh Juneja. He has been shown to be in the category of “Balance aggrieved customers who have been offered possession” and “Customers yet to be settled”. The response of the petitioner on this aspect states that his unit has been de-allocated due to non-payment and he must apply for re- allocation, consequently he is rightly placed under “yet to be settled”. The respondent has submitted that no concrete proposal or restoration of allotment has been discussed with him by the petitioner. This instance is further indicative of his lack of bonafide intention to settle with the allottees.
97. The allotment to GVCTPL also casts serious doubt on the petitioner. In our view, these contradictions are indicative of the lack of his bonafides and intention to settle with the allottees.
98. We also advert to the submissions raised by Mr. Gopal Sankaranarayanan, learned senior counsel, appearing on behalf of DS Chewing Products LLP. While the petitioner has objected to DS Chewing, being heard at this stage, it has been submitted before us that such entity is also an allottee of units in the project.
99. It is a matter of record that there are various criminal and civil disputes that are pending inter se DS Chewing, its promoters and the petitioner. In our view, in these proceedings, we shall not be going into the merits of these disputes. Especially given that the Delhi High Court, is seized of the matter concerning the alleged abduction of the petitioner at the behest of DS Chewing. However, in its role as an allottee, there is one submission which is of significant importance.
100. It has been submitted that while the above Agreement, purporting to allot certain units in the project to GVCTPL, is dated 15.04.2015; however, it contains clauses referring to GST which was only introduced only in the year 2017. This directly points to fabrication by the petitioner before this Court. Ms. Aditi Mohan, learned counsel has submitted to similar effect. It has also been pointed out that through this agreement, the petitioner is deriving commercial benefit by renting out these units, for rental yield. Consequently, this fabrication not only affects the allottees, but has direct commercial benefit for the petitioner.
101. We have perused the above Agreement, which has been annexed in Volume 29; Paragraph 7 of the Agreement, explicitly reads:
“7. The Intending Allottee(s) shall be liable to pay directly or if paid by the Company then reimburse to the Company on demand, the statutory charges and other Levies, Rates, Taxes, Cess, Value Added Tax, Service Tax and any enhancement/fresh Tax (including GST) as demanded or imposed by Competent Authorities/Central Governmental Authorities….”
102. The petitioner himself refers to this Agreement in his submissions before this Court. It cannot be disputed by any stretch of imagination that GST was not enacted or applicable at the time when the Agreement has been alleged to be executed. This inclusion points directly at the veracity of this document. It is not an inadvertent or clerical error.
103. Upon this discovery, a heavy burden was cast on the petitioner to explain this circumstance, which he has failed to do so. The petitioner has simply responded to this inclusion in the Agreement, by stating that the mention of the term ‘GST’ was an anticipatory measure, as GST was an anticipated fiscal reform. We find no strength in this submission. If the drafting of the Agreement was “anticipatory” and “forward looking” as alleged by the petitioner, paragraph 7 would not be the only clause in the agreement where such inclusion would have been made.
104. This inclusion, which in our view, remains uncontroverted, points directly at fabrication by the petitioner. While these proceedings are not a criminal trial, this conduct again shows the lack of bonafide of the petitioner to settle with the allottees.
105. Moreover, it was further submitted that the petitioner has been creating third party rights illegally by fabricating documents. Mr. Gopal Sankaranarayanan, learned senior counsel and Ms. Aditi Mohan, learned counsel have contended that the petitioner has unlawfully and fraudulently transferred an area of 4,25,154 sq. ft. in favour of Grand Express Developers Private Limited18, in which the petitioner is alleged to have direct interest. To give effect to such a transfer, it is submitted, the petitioner had executed an Assignment Deed dated 10.04.2023 which was accompanied by a fabricated non-judicial stamp paper. Though the stamp paper FV 836192 was dated 06.03.2023, upon enquiry through RTI it was found that the same was actually sold to a bank on 29.04.2024. After a perusal of the said documents, we find that prima facie the petitioner has carried out transfers through fabricated documents at the expense of genuine allottees.
106. We find strength in another argument raised by Ms. Aditi Mohan, learned counsel. She has pointed out that even if the allotment to GVCTPL dated 15.04.2015 is considered to be genuine, subsequent allotments were made to related concerns at a lower market rate, which showcases his intention for commercial benefit at the cost of interest of the allottees as well as a lack of bonafide intention. It has been submitted that the said allotment was made to GVCTPL at a rate of Rs. 3100/- per square feet, for a total consideration of Rs. 218,72,77,943/- as per paragraph 9 thereof. Thereafter, on 06.07.2019, GVCTPL transferred certain units to Bewealthy, in the same project, at a rate of only Rs. 1785/- per square feet. Therefore, even if it is the case that the allotment dated 15.04.2015 is considered to be valid and bonafide, yet the subsequent allotment renders the entire chain of transactions extremely suspicious. This sequence again points at a lack of bonafide intention of the petitioner. In fact, to surreptitiously benefit himself (for the said company being his closely held family concern) rather the allottees struggling to have possession of the units.
COMMISSION OF SIMILAR OFFENCE
107. It has been submitted on behalf of the respondents that the petitioner has violated Condition (i) imposed by the Court while granting bail, whereby the petitioner was directed not to commit any offence similar to the one for which he stands accused. It has been argued that subsequent to the grant of bail, the petitioner has engaged in siphoning of funds during the subsistence of the moratorium.
108. The IRP has contended before this Court that after the imposition of moratorium under Section 14 IBC by NCLT, an amount of 74 Crores (Rs.74,68,21,277/-) has been siphoned off from GVCTPL to entities connected to the close relatives of the petitioner. It is submitted that GVCTPL was incorporated in 26.11.2009 by the petitioner along with his father. The petitioner was associated with the Company as a Director and held majority shareholding till 2016. It is the case of the IRP that once the NCLT admitted GVCTPL into CIRP by order dated 04.12.2023, a moratorium came into force, which prohibited the transfer or disposal of the assets or legal rights of the Corporate Debtor. Despite this, it is alleged that the petitioner, through his close relatives, continued to operate GVCTPL’s accounts and transferred funds to various related entities for his benefit.
109. According to the IRP, the aforesaid amount was transferred in different tranches to three entities, namely – (i) Niche; (ii) Vinamr; and (iii) Bewealthy. All these entities are stated to be controlled by individuals closely related to the petitioner, including the members of his immediate family. For convenience, below is the depiction of the shareholding pattern of the entities:


110. The IRP has particularly relied upon the transactions with Niche, whereby a sum of Rs.67,71,76,927/- is stated to have been transferred from the account of GVCTPL between 04.12.2023 and 05.06.2025. The petitioner has admitted these transactions in his response which was drawn on 13.10.2025 and described them as “commercial advances”. However, the respondents contend that this assertion is unfounded, as no agreement or document has been placed on record to substantiate it. It is further submitted that even if, arguendo, the transaction is assumed to be a commercial advance, none of the perquisites under Section 186 of the Companies Act, including passing of a special resolution and providing requisite disclosures, have been complied with. According to the respondents, the transfers to Niche were made with a view to divert the funds of GVCTPL for the benefit of the petitioner.
111. Additionally, the IRP has submitted that between 19.03.2024 and 21.03.2024, a sum of Rs.5,60,70,000/- and Rs.1,35,74,350/- was siphoned off from the account of GVCTPL to Vinamr and Bewealthy, respectively. According to the respondents, the petitioner in his response which was drawn on 13.10.2025 admitted these transactions and explained them to be “repayments”, however, no loan agreement or financial instrument has been produced to prove such prior liability. Therefore, this explanation is merely an afterthought and as such these transactions cannot be treated as lawful in absence of any documentary evidence. Moreover, it is further submitted that such transactions cannot be treated as ‘routine’, as once CIRP commences, all creditors are required to submit their claims before the IRP to obtain repayment of their dues, and only payments necessary to maintain the corporate debtor as a going concern or for the conduct of CIRP are permissible.
112. The respondents have also brought our attention to FIR No.38/2018 dated 07.03.2018 to contend that similar allegations of diversion of funds had been levelled against the petitioner in the past. In the said FIR, it was alleged that instead of completing the project, the petitioner diverted the hard-earned money of the allottees for advertising and procuring other projects.
113. The petitioner, on the other hand, has denied these allegations and, at the outset, pointed out that the IRP has raised the issue of siphoning for the first time directly before this Court, and is attempting to bypass the specific remedies available under IBC. It is submitted that neither any FIR has been filed nor any action has been taken under Sections 43 or 46 of IBC. Hence, no formal accusation exists in the eyes of law.
114. On merits, the petitioner submits that the transactions in question were routine inter-corporate transactions carried out in ordinary course business and in consonance with the provisions of the Companies Act. It is argued that even prior to 04.12.2023, similar transactions were undertaken with these three entities, which were never questioned by the IRP. It is the case of the petitioner that the IRP has selectively relied on debit entries made on or after 04.12.2023 without disclosing the corresponding credits. According to the petitioner, from 04.12.2023 till 07.03.2025, GVCTPL received approximately Rs.77.55 Crores from Vinamr, Bewealthy, Niche and others, out of which an amount of Rs.74.95 Crores was returned. Therefore, these transactions do not amount to siphoning.
115. It is also argued by the petitioner that since GVCTPL had only a limited role in the project, namely marketing and sale of units, while it was BIIPL which was entirely responsible for the execution and registration, the inflow and outflow of any money in the said Company has no bearing on the facts of the present case and the Company’s financial transactions cannot be attributed to the petitioner. Furthermore, it is also submitted that no funds of the allottees were involved in these transactions.
116. Additionally, the petitioner has argued that there is no material on record to show that the three entities in question are related parties falling within the ambit of Section 5(24)(a) of IBC. It is submitted that neither the director nor the shareholder of the aforesaid three companies were related to any of the directors/shareholders of GVCTPL at the relevant time. Pertinently, the petitioner has pointed out that, since a stay was in effect on the CIRP proceedings until 07.03.2025 i.e., the date of the NCLAT order clarifying the nature of stay, there was no embargo on undertaking commercial business transactions. Even IRP, in his Status Report dated 02.04.2025, stated that he had not taken control of the corporate debtor in view of the stay granted by the NCLAT. According to the petitioner, this shows that the transactions carried out between 07.12.2023 and 07.03.2025 were done with a bonafide belief that the CIRP proceedings stood stayed and the corporate debtor was entitled to undertake such transactions.
117. In sur-rejoinder, the respondents have reiterated that once CIRP commenced, all assets of GVCTPL were to be preserved for the benefit of creditors, and the transfer of funds during the operation of the moratorium is ex facie impermissible. IRP further clarified that it is not, in the present proceedings, seeking recovery of the amounts or attempting to circumvent the mechanism under IBC, but is merely placing on the record the conduct of the petitioner which is in contravention of the established legal principles. IRP will prefer an appropriate application for recovery under Section 14 read with Section 60(5) of IBC before the NCLT at the appropriate stage.
118. Having considered the submissions, we find that the allegations of siphoning of funds emanate from FIR(s) registered against the petitioner, which are presently under challenge in quashing proceedings instituted at his instance before the High Court of Judicature at Allahabad. In view of the pendency of such proceedings, we refrain from returning any conclusive finding or expressing any opinion on the merits of these allegations, so as to avoid making any observation which may prejudice the petitioner.
119. At the same time, it is a matter of record that the transactions in question were undertaken during the period of moratorium. The order dated 07.12.2023, passed by NCLAT, required that the status quo be maintained. In such circumstances, the corporate debtor ought not to have undertaken transactions of this nature. The fact that these transfers were effected despite the moratorium and operating status quo prima facie lends credence to the submissions of the respondents and does not, at this stage, reflect a bonafide conduct on the part of the petitioner.
120. While the legality and nature of these transactions would be examined in appropriate proceedings, for the present purpose, it is sufficient to note that the transfer of Rs.74 Crores to the entities in question is an admitted position. These entities are prima facie shown to be controlled by persons closely related to the petitioner. The explanation offered that the said transfers were made as “commercial advances” or towards “repayment of dues” remains unsatisfactory. The absence of supporting material makes us wonder about the manner in which the affairs of the corporate debtor were managed.
121. Accordingly, the conduct of the petitioner, as emerging at this stage, is not fully consistent with the obligations attached to the grant of bail.
CONCLUSION
122. Before parting with the case at hand, we must observe that we are not impressed with the conduct of the petitioner with the IRP. Given that statutory remedies against the admission order of IBC proceedings have been exhausted, the complete management and affairs of BIIPL ought to be handed over to the IRP, at the earliest.
123. We must also mention here that for the interest of the allottees; this Court had made efforts at settlement till the last date of hearing. This Court had indicated that for settlement, the petitioner should make an unconditional offer where he infuses funds into the project to carry out the necessary renovations as pointed out by the three Reports, clear the dues raised by UPSIDA for the execution of tripartite lease deeds with the allottees and unconditionally handover possession to the allottees. For this purpose, this Court had also indicated that if such a proposal comes forth, it would implore upon the IRP to come on board, in the interest of the allottees. However, this Court was informed that the above terms are not feasible for the petitioner. The petitioner proposed that he is willing to contribute an amount of Rs. 5 crores. He further proposed that such an amount along with the amount already submitted before this Court at the time of granting bail be used to settle all allottees who are before this Court. However, the IRP informed this Court that such an amount is entirely insufficient as the total claims received are more than 1400 crores, with approximately 670 creditors. As a result, the petitioner failed to arrive at an arrangement where the interest of all allottees would be taken care of. Also, the claims of the other creditors are more than 460 crores (approx.).
124. Another issue that has been raised by the petitioner is that the present two-judge Bench lacks the jurisdiction to modify or alter the orders clubbing the subject FIRs dated 12.05.2022 and 08.08.2023, as it was passed by a three-judge Bench. While we are not delving into this issue in depth as we are concerned with the cancellation of bail at this stage, however, we find reason to agree with the submission of Mr. Gopal Sankaranarayanan, learned senior counsel on this aspect. It has been submitted that on occasions, 2-judge Benches of this Court have modified or altered 3-judge Bench decisions, for instance: Arjun Gopal v. Union of India19 and All India Judges Association20. Needless to add, we clarify that it is open for any party to move an appropriate application before this Court on the issue of clubbing/de-clubbing of FIRs. Any such application, if so made, shall be decided on its own merits.
125. The cumulative result of the above discussion is that the petitioner has not complied with the conditions of bail imposed upon him vide order dated 06.11.2019.
126. Resultantly, the bail granted to the petitioner is cancelled. The petitioner to surrender within one week from the date of this judgment. Needless to add that any observations made hereinabove are only for the purposes of cancellation of bail.
127. The petitioner may apply for regular bail afresh after a period of twelve months and subject to fully complying with the orders passed in the insolvency proceedings. It is directed that the passport of the petitioner is not to be released by the Trial Court without the leave of this Court.
128. Given that this Court has arrived at the finding that the conditions of bail have been violated, Condition (ix) of the order granting bail becomes of relevance, which reads as follows:
“(ix) If the petitioner fails to abide by any of the above conditions intentionally and if it is so established before this Court, no less than 50% of the amount deposited by him in this Court in terms of this order [Clause (vi) above] shall stand forfeited.”
129. Consequently, considering the number of opportunities this Court has given to the petitioner to comply with the conditions, we deem it appropriate to forfeit the entire amount deposited by him i.e., Rs. 50 crores plus the accrued interest. We direct that out of the aforesaid amount, Rs. 5 crores plus proportionate accrued interest be transmitted to the National Legal Services Authority for its utilization in achieving its objectives. The remaining amount along with proportionate accrued interest be transmitted to the IRP for the purposes of the IBC proceedings. The Registrar (Judicial) of this Court to ensure immediate compliance by the concerned Trial Court in disbursal of the above amounts.
130. The Miscellaneous Petitions are allowed in the above terms. Pending applications, if any, are disposed of.
Annexure A1

















- W.P. (Crl.) No. 242 of 2019 [↩]
- Hereinafter ‘BIIPL’. [↩]
- UPSIDA [↩]
- Hereinafter ‘UPSIDA Report’. [↩]
- Hereinafter ‘IRP’. [↩]
- Hereinafter ‘NCLT’. [↩]
- Hereinafter ‘IBC’. [↩]
- Hereinafter ‘CIRP’. [↩]
- Hereinafter ‘GVCTPL’. [↩]
- Hereinafter ‘Niche’. [↩]
- Hereinafter ‘Vinamr’. [↩]
- Hereinafter ‘Bewealthy’. [↩]
- Hereinafter ‘FAR’. [↩]
- (2022) 15 SCC 211. [↩]
- (1995) 1 SCC 349. [↩]
- 2022 SCC OnLine SC 1779. [↩]
- 2025 SCC OnLine SC 1690. [↩]
- Hereinafter referred to as ‘GEDPL’ [↩]
- (2017) 16 SCC 280. [↩]
- 2025 SCC OnLine SC 2574. [↩]